智通财经财经APP获悉,今年是投资航空业的动荡年,但空头在这个领域的股票交易中获利颇丰。随着最近疫苗研发不断传出利好消息,市场预期航空旅游的需求将加速复苏。美国金融分析公司S3Partners的报告显示,航空板块的空头头寸在下降。该板块的空头头寸在6月初达到126.23亿美元峰值,然后下跌24%至11月23日的95.9亿美元。

在过去的30天里,航空板块的空头回补3.86亿美元,是当前空头头寸(95.9亿美元)的4%。该板块中,美国航空(AAL.US)是被做空最多的个股,占该板块空头头寸的21%。德国汉莎航空(LHA GR)的空头头寸下跌最多,跌幅为23%,空头回补了1.93亿美元。然而,国际航空集团 (IAG LN) 空头头寸在过去30天增加1.22亿美元,涨幅达243%,居航空板块第一。

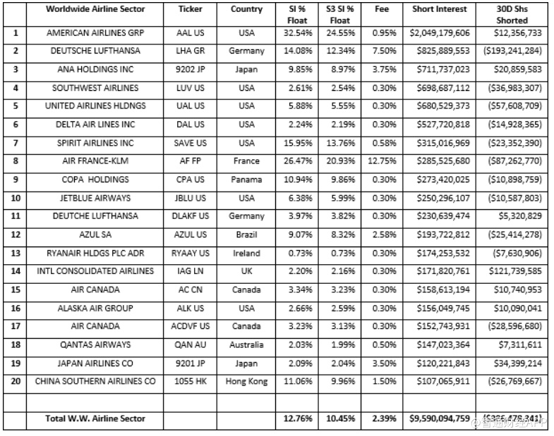
下面列出了各个地区被卖空最多的10只航空个股,每只个股的空头头寸在1000万美元以上。
在过去三十天,美国/加拿大地区前十大卖空个股的空头头寸达52.45亿美元,多只个股出现空头回补,其中,西南航空公司(LUV.US)和美国联合航空公司(UAL.US)的空头补仓量最大。美国航空是唯一一只空头头寸超20亿的个股,过去30天新卖空交易增加了1200万美元。

在欧洲,德国汉莎航空公司(LHA GR)和法国航空公司(Air France-KLM)的空头最近都在减持仓位,而在英国和西班牙上市的国际航空公司 (IAG LN & IAG SM) 的卖空交易有所增加。

日本只有两家航空公司的空头头寸超过1000万美元,而且在过去30天里,这两家公司的空头头寸都有所增加。全日空控股(9202 JP)仍是该地区最受空头青睐的航空个股。

在南美、墨西哥、非洲和中东地区,只有三家航空公司(以及它们在美国上市的公司)的空头头寸超过1000万美元。科帕控股(CPA.US)和Azul SA (AZUL.US& AZUL4 BZ)仍是该地区卖空最多的航空股票。

澳洲航空(QAN AU)仍是亚太地区(除日本和中国地区外)唯一一只空头头寸超过1亿美元的航空公司,在过去30天,该股新增731万美元卖空交易。该地区的多只个股出现空头回补。

在大流行期间,中国内地及中国香港地区的航空板块的空头头寸保持相对稳定。不过在过去30天里,最近4只做空最多的航空个股出现空头回补,回补总金额超过6231万美元。

总体而言,在2020年卖空航空公司股票是一项有利可图的交易,该板块近三分之二的股票产生了正回报。有42只航空股的空头遭遇失败,年初至今扣除融资后按市值计算的损失达3.68亿美元,回报率为-16%;而71只航空股票的空头成为赢家,初至今扣除融资后按市值计算的净利润达42.2亿美元,回报率为63%。
2020年空头获利最多的航空股票如下:

2020年空头亏损最多的航空股票如下:

11月,航空板块空头的命运发生了决定性的逆转,当月只有9只股票能够给空头带来正利润。当月,SAS AB (SASNOK NO)的空头利润最高,但仅为130万美元。总的来说,航空公司的空头在一个月内扣除融资后按市值计算的损失为18.5亿美元。
11月空头亏损最多的航空股票如下:

在11月份空头亏损最多的10家航空公司中,有8家在过去一个月出现了净空头回补。只有美国航空公司和全日空控股在11月份出现净卖空。
如果出现更多的疫苗正面消息以及政府放松社交隔离政策,航空公司的股价应该会维持上升趋势,航空板块可能会出现更多空头回补,而空头回补又会进一步提振航空公司的股价,并造成更大的回补压力。





