智通财经APP获悉,10月的第一周,美股市场处于上涨状态,道琼斯指数累计上涨1.88%,标准普尔500指数累计上涨2.02%,纳斯达克指数累计上涨1.76%,罗素2000指数累计上涨7.65%。美国空头在10月一直很活跃,共进行了超过21亿美元的新卖空交易,不过按市值计,他们已经损失了440亿美元。10月初,美股市场一些板块出现了大量的卖空或空头回补交易。

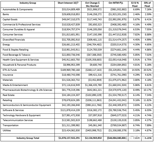
卖空交易增幅最大的板块是媒体和娱乐(卖空交易增加13.7亿美元),其次是制药、生物技术和生命科学(卖空交易增加6.42亿美元)和汽车及零部件(卖空交易增加5.22亿美元)。
在媒体和娱乐板块中,10月初卖空交易增幅最大的三只股为Netflix(NFLX.US)、Match Group(MTCH.US)和Alphabet (GOOG.US,GOOGL.US)。整个板块都出现了卖空交易,421只股票中只有29%出现净空头回补,而且没有一只股票的回补金额超过1亿美元。随着科技股从3月后的上涨中回落,空头开始涌入该板块。
制药、生物科技和生命科学是今年多数时间表现超大盘的另一个板块,空头目前正瞄准该板块的一些热门股票。该板块的空头几乎和做空媒体娱乐板块的人一样,其卖空交易覆盖了板块中的大部分股票,在该板块的1263只股票中,只有38%在10月初出现了净空头回补。其中,最近卖空交易最活跃的个股是安进(AMGN.US)和Moderna(MRNA.US)。安进再次接近今年以来的高点,空头期待该股触顶反弹,就像最近几次该股触及255美元高点的情况一样。Moderna的股价自3月份以来上涨了两倍多,做空者可能指望来自制药巨头的强劲Covid-19疫苗竞争能够抑制Moderna长达一年的上涨势头。
汽车和零部件是卖空交易增幅第三大的板块。正如预期的那样,特斯拉(TSLA.US)在卖空活动增加方面领先行业和美股大盘。特斯拉在2020年出现超过7000万股的空头回补,但在该股反弹到450美元的水平后,最近出现了一些卖空行为。通用汽车公司(GM.US)在宣布与Nikola(NKLA.US)的交易后,卖空交易有所增加,而蔚来(NIO.US)的空头继续进行长达一年的空头回补,因其股价在5月后维持快速上涨势头。
以下是卖空幅度最大的板块中的个股情况:

空头回补增幅最大的行业包括半导体及半导体设备(空头回补9.82亿美元)、公用事业(空头回补4.04亿美元)和零售业(空头回补2.06亿美元)。
半导体及半导体设备方面,空头减少了对英特尔(INTC.US)、英伟达(NVDA.US)和亚德诺(ADI.US)的空头敞口,同时增加了对微芯科技(MCHP.US)、德州仪器(TXN.US)和AMD(AMD.US)的空头敞口。
公用事业板块方面,公共事业指数ETF(XLU.US)从9月23日57.13美元的近期低点反弹,本周已触及年内迄今的高点,今年以来已累计上涨1%。空头正在关注这个全年表现不佳的板块,预计一些事件可能会推高股价。总部位于加州的太平洋煤气电力(PCG.US)的卖空活动仍在继续,因为持续的野火威胁到该公司的基础设施,增加了潜在的法律风险。电力和天然气供应商道明尼资源(D.US)的空头敞口减少了逾四分之一,空头在10月初进行了5.5亿美元的空头回补。
零售板块的空头正在做空更纯粹的在线电子商务平台,如亚马逊(AMZN.US)和eBay(EBAY.US)等。但空头正在减少对拉丁美洲电子商务巨头Meli(MELI.US)的敞口。Carvana (CVNA.US)的空头在10月进行了略高于1亿美元的空头回补。Carvana的空头今年迄今按市值计算的损失为27亿美元。
以下是空头回补幅度最大的版块中个股情况:

ETF方面,“对冲ETF"的卖空情况出现一些翻转。标普500指数ETF(SPY.US)和罗素2000指数ETF(IWM.US)的卖空交易增加,同时空头开始回补纳指100ETF(QQQ.US)。
虽然公用事业个股出现空头回补,但公共事业指数ETF (XLU)却出现卖空交易。
固定收益ETF今年备受空头青睐。iShares iBoxx高收益公司债ETF(HYG.US)、iShares iBoxx投资级公司债(LQD.US)和iShares安硕20年期以上美国国债(TLT.US)跻身美国市场卖空规模最大的ETF前十名。10月份,HYG和iShares Barclays 7-10年ETF(IEF.US)的卖空交易仍在持续。






