智通财经APP获悉,在金融数据机构S3
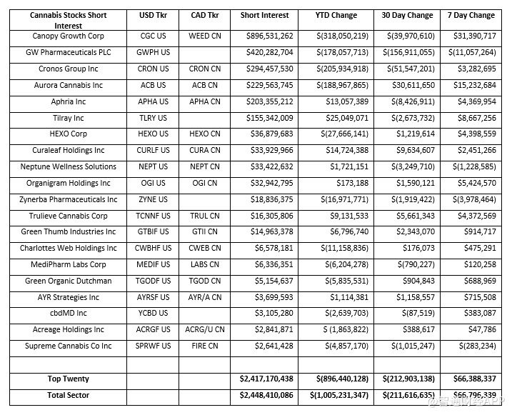
Partners追踪的200多只美国和加拿大的工业大麻股中,其空头头寸总计为24.5亿美元。空头高度集中在少数几只个股上,该板块前二十名被做空最多的股票空头头寸高达24.2亿美元,占总空头头寸的99%。
利空因素下空头仍减仓
罗素3000指数从3月23日的低点反弹已经超过了60%,而在此期间工业大麻板块的空头头寸增加了7.06亿美元,其中包括8000万美元的额外卖空。
虽然该板块的空头头寸从3月开始有所增加,但实际上今年以来工业大麻板块的空头头寸却减少了10亿多美元,其中包括1.82亿美元的空头回补。Canopy Growth(CGC.US)仍然是该板块中被做空最多的股票。

从做空股数占总流通股的百分比来看,除了极光大麻(ACB.US)在7月增加了4%,其他工业大麻股并没有太多的变动。目前该板块只有20.10%的股票被做空,距该板块年初24.20%的水平还有一段距离。即使在价格疲软、库存积压以及销售下滑等利空因素下,该板块的空头也在年初减仓,并没有重新建仓。

股票借贷费用下降
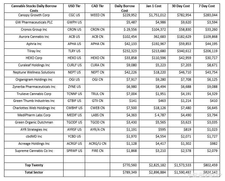
2020年工业大麻板块被做空股票的总数和其占总流通股的比例都大幅下降,同时该板块的股票借贷费用也明显下降。该板块平均股票借贷费率在今年从30.20%降至11.61%,降幅近三分之二。
7月股票借贷费率降幅最大的是Canopy Growth,从对做空杀伤力巨大的51.90%降至9.23%。该板块前十一名被做空最多的股票在7月都出现了股票借贷费率下降的情况。

股票借贷费率下降加上该板块大部分空头年初至今的盈利,大幅降低了该板块大部分空头可能面临的轧空风险,同时股票借贷成本也相应下降。卖空者支付的股票借贷费用在2020年首次下降到日均100万美元以下,从290万美元大幅下降73%至78.9万美元,最近一个月的降幅达到50%。

该板块做空股票的成本下降,缓解了高额股票借贷费用带来的拖累。由此,做空者现在保留了更多的利润,并支付了较少的股票借贷费用,这使得做空工业大麻股票更具吸引力。同时,较低的股票借贷费用导致回报率增加,也可能让更多的机构卖空者认为做空这些股票是一项较为可行的交易。
卖空者获利颇丰
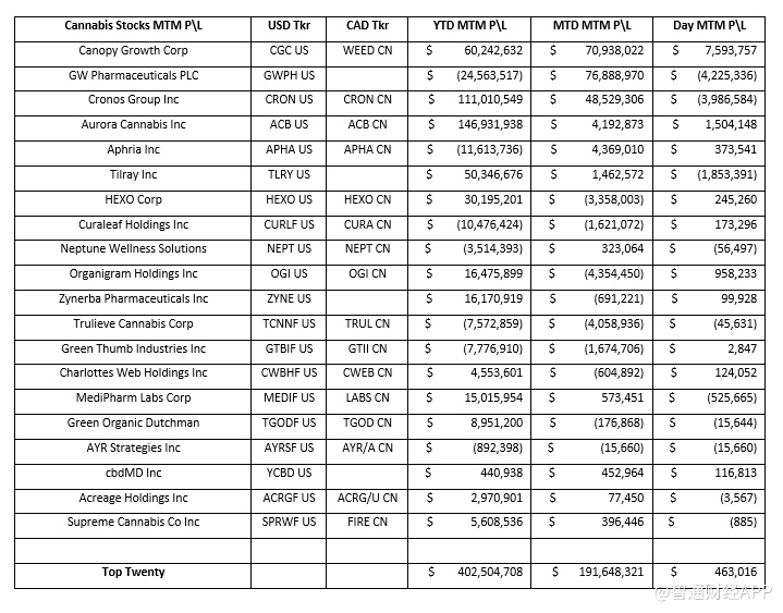
总体而言,今年卖空者在工业大麻板块中获利颇丰,按市值计价,2020年的净利润达到4.03亿美元,其中近一半的利润是在过去30天内赚取的。
做空最赚钱的工业大麻股是Canopy Growth、Cronos Group(CRON.US)、极光大麻、Tilray(TLRY.US)和Hexo Corp(HEXO.US),而做空最亏钱的是医疗大麻股GW Pharmaceuticals(GWPH.US)。
按市值计价,工业大麻板块的卖空者在过去30天内的利润增加了1.92亿美元,如果利润继续累积,投资者可能会开始逐利,卖空也会因此增加。





