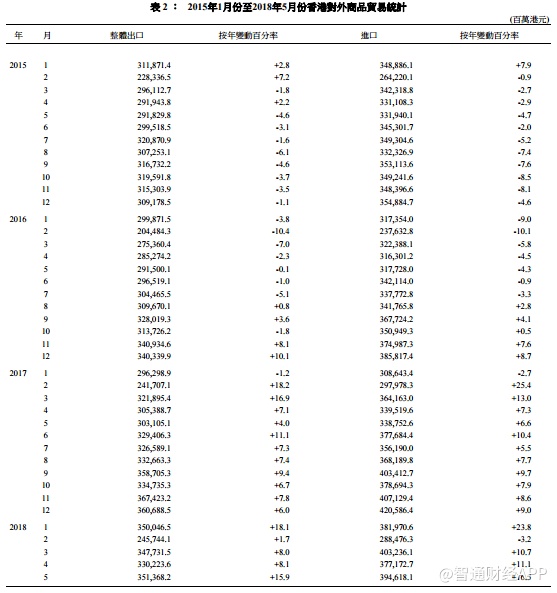
智通财经APP获悉,香港政府统计处今日(26日)发表的对外商品贸易统计数字显示,今年五月份香港整体出口和进口货值均取得同比升幅,分别上升15.9%和16.5%。

继上月取得8.1%的同比升幅后,5月商品整体出口货值为3514亿元,同比上升15.9%。同时,上月取得11.1%的同比升幅后,5月份商品进口货值为3946亿元,同比上升16.5%。另外,5月取得有形贸易逆差432亿元,相等于商品进口货值的11.0%。
首五个月的商品整体出口货值同比上升10.7%。同时,商品进口货值上升11.9%。首五个月取得有形贸易逆差2198亿元,相等于商品进口货值的11.9%。

经季节性调整的数字显示,截至2018年五月底的三个月与上三个月比较,商品整体出口货值取得3.5%的升幅。同时,商品进口货值上升4.0%。
按国家/地区分析
5月输往亚洲的整体出口货值同比上升15.8%。此地区内,输往大部分主要目的地的整体出口货值取得升幅,尤其是新加坡(升43.9%)、马来西亚(升43.6%)、菲律宾(升25.5%)、中国内地(内地)(升19.2%)、泰国(升18.6%)和日本(升13.0%)。另一方面,输往印度和台湾的整体出口货值则取得跌幅,分别下跌21.7%和1.9%。
除亚洲的目的地外,输往其他地区的部分主要目的地的整体出口货值取得升幅,尤其是德国(升16.7%)、美国(升12.5%)和英国(升6.7%)。

同期,来自大部分主要供应地的进口货值取得升幅,尤其是马来西亚(升69.7%)、韩国(升44.1%)、台湾(升22.3%)、新加坡(升20.3%)、菲律宾(升18.8%)和内地(升18.4%)。同时,来自印度的进口货值则下跌39.5%。
首五个月输往大部分主要目的地的整体出口货值同比取得升幅,尤其是新加坡(升16.9%)、内地(升14.0%)、德国(升12.8%)、台湾(升12.2%)、美国(升9.4%)和泰国(升7.1%)。然而,输往印度的整体出口货值则下跌20.9%。
同期,来自大部分主要供应地的进口货值取得升幅,尤其是马来西亚(升91.2%)、韩国(升21.8%)、台湾(升18.1%)、菲律宾(升10.4%)、内地(升10.4%)和新加坡(升8.4%)。另一方面,来自印度的进口货值则下跌21.4%。

按主要货品类别分析
5月大部分主要货品类别的整体出口货值同比上升,尤其是“电动机械、仪器和用具及零件”(增248亿元,升22.8%)、“办公室机器和自动资料处理仪器”(增98亿元,升32.7%)和“通讯、录音及音响设备和仪器”(增56亿元,升10.0%)。然而,“非金属矿物制品”的整体出口货值则下跌(减20亿元,跌13.2%)。
同期,大部分主要货品类别的进口货值上升,尤其是“电动机械、仪器和用具及零件”(增303亿元,升25.3%)、“办公室机器和自动资料处理仪器”(增100亿元,升38.5%)和“通讯、录音及音响设备和仪器”(增53亿元,升10.0%)。然而,“杂项制品(主要包括珠宝、金饰及银器)”的进口货值下跌(减13亿元,跌5.5%)。
首五个月与2017年同期比较,部分主要货品类别的整体出口货值取得升幅,尤其是“电动机械、仪器和用具及零件”(增1025亿元,升20.0%)、“办公室机器和自动资料处理仪器”(增325亿元,升22.0%)和“杂项制品(主要包括珠宝、金饰及银器)”(增180亿元,升23.1%)。然而,“非金属矿物制品”的整体出口货值则下跌(减136亿元,跌15.9%)。

同期,大部分主要货品类别的进口货值上升,尤其是“电动机械、仪器和用具及零件”(增1,099亿元,升18.8%)、“办公室机器和自动资料处理仪器”(增353亿元,升28.2%)和“石油、石油产品和副产品”(增80亿元,升27.1%)。然而,“通讯、录音及音响设备和仪器”的进口货值则取得跌幅(减23亿元,跌0.8%)。

评论
政府发言人表示,受惠于蓬勃的环球需求,外贸在2018年至今持续表现强劲。五月份的商品出口同比继续强劲增长,输往多个主要市场的出口均取得双位数的增幅。
发言人称,展望未来,目前环球经济的增长势头在短期内应继续为香港的出口带来支持。不过,随着美国与内地的贸易摩擦升温,最近外围环境的不确定性显著增加,这或会拖累环球经济目前的气氛及往后的贸易扩张。政府会继续密切留意有关情况。





