智通财经APP获悉,2月17日,上海阳光医药采购网发布《关于开展第八批国家组织药品集中采购相关药品信息填报工作的通知》,自2月20日起,联合采购办公室将开展第八批国家药品集购相关药品信息填报工作。此次集采的药品填报范围共包括41个品种,181个品规的药品。属于本次药品填报范围并满足药品要求的相关企业,包括:提供药品及伴随服务的国内药品生产企业,药品上市许可持有人,境外药品上市许可持有人境内代理人。上述所称的代理人,是指按照国家有关部门关于境外药品上市许可持有人境内代理人管理规定,取得我国药品注册证书的境外持有人依法指定,代表其履行法律法规规定的药品上市许可持有人义务的中国境内企业法人。
原文如下:
关于开展第八批国家组织药品集中采购相关药品信息填报工作的通知
各药品相关企业:
为做好第八批国家组织药品集中采购工作,进一步优化工作流程,建立常态化工作机制,自2023年2月20日起,联合采购办公室开展第八批国家组织药品集中采购相关药品信息填报工作,现将有关事项通知如下:
一、药品要求
属于药品填报范围(详见附件)并获得国内有效注册批件且满足以下要求之一的上市药品,应具备相应批件或可在国家药品监督管理局药品审评中心《化学药品目录集》中查询到相应结果:
1.原研药及国家药品监督管理部门发布的仿制药质量和疗效一致性评价参比制剂。
2.通过国家药品监督管理部门仿制药质量和疗效一致性评价的仿制药品。
3.根据《国家食品药品监督管理总局关于发布化学药品注册分类改革工作方案的公告》〔2016年第51号〕或《国家药监局关于发布化学药品注册分类及申报资料要求的通告》〔2020年第44号〕,按化学药品注册分类批准,并证明质量和疗效与参比制剂一致的仿制药品。
二、企业要求
属于本次药品填报范围并满足药品要求的相关企业,包括:提供药品及伴随服务的国内药品生产企业,药品上市许可持有人,境外药品上市许可持有人境内代理人。上述所称的代理人,是指按照国家有关部门关于境外药品上市许可持有人境内代理人管理规定,取得我国药品注册证书的境外持有人依法指定,代表其履行法律法规规定的药品上市许可持有人义务的中国境内企业法人。
三、填报内容
1、生产企业、药品上市许可持有人、境外药品上市许可持有人境内代理人的证明材料(包括企业名称、统一社会信用代码、联系人、授权书等)。
2、符合药品要求的证明材料(包括药品注册批件、补充注册批件、说明书等)。
3、产能及原料药自产说明等。
四、注意事项
1、填报方式:请登陆“国家组织药品集中采购综合服务平台”(网址:http://pub.smpaa.cn/xxsj)进行企业注册及信息填报。新用户需选择“资质维护用户”身份进行注册;已有“资质维护用户”账号的,需要重新提交与本次集采相关的资质文件,待审核通过后方可进行“品种信息”维护。用户账号长期有效无需重复注册。
2、审核通过的药品信息经企业确认将生成《申报信息一览表》,作为第八批国家组织药品集中采购的申报依据,请正确填写相关信息。具体要求以采购文件规定为准。
3、联系方式:021-31773244、31773255、31773266
(服务时间8:30-11:30, 13:30-16:30,节假日除外)
特此通知。
联合采购办公室
2023年2月17日
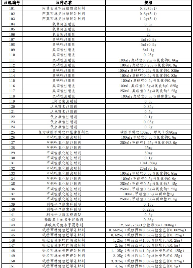
附件:药品填报范围




本文编选自“上海阳光医药采购网”,智通财经编辑:李东敏。




