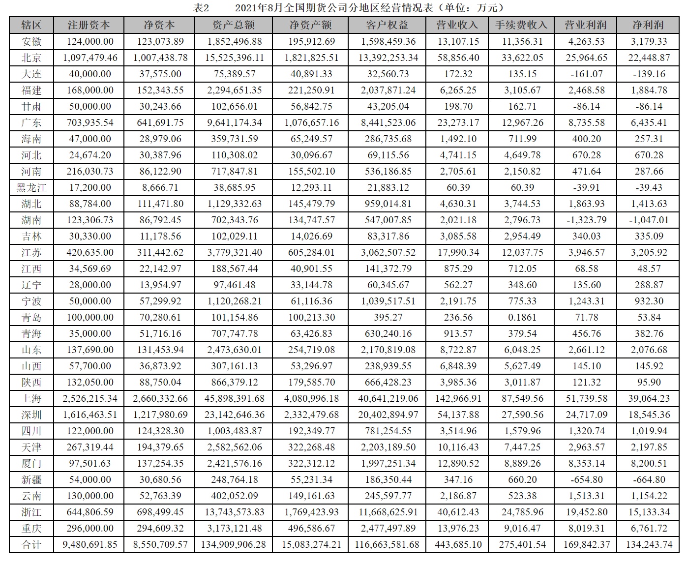
智通财经APP获悉,中国期货业协会10月12日晚间公布2021年8月期货公司总体及分辖区经营情况显示,2021年8月,全国150家期货公司营收、净利双双大增。数据显示,截至2021年8月末,全国共有150家期货公司,分布在31个辖区。8月全国期货公司共实现营业收入44.37亿元,环比增长9.93%,同比增长48.3%;实现净利润13.42亿元,环比增长18.62%,同比增长95.16%。数据显示,1-8月,全国150家期货公司实现营业收入308.05亿元,同比增长47.85%;实现净利润85.65亿元,同比增长63.02%。
全文如下:
2021年8月期货公司总体及分辖区经营情况
截至2021年8月末,全国共有150家期货公司,分布在31个辖区。2021年8月交易额52.11万亿元,交易量6.17亿手,营业收入44.37亿元,净利润13.42亿元。


本文编选自“中国期货业协会”;智通财经编辑:黄晓冬。




