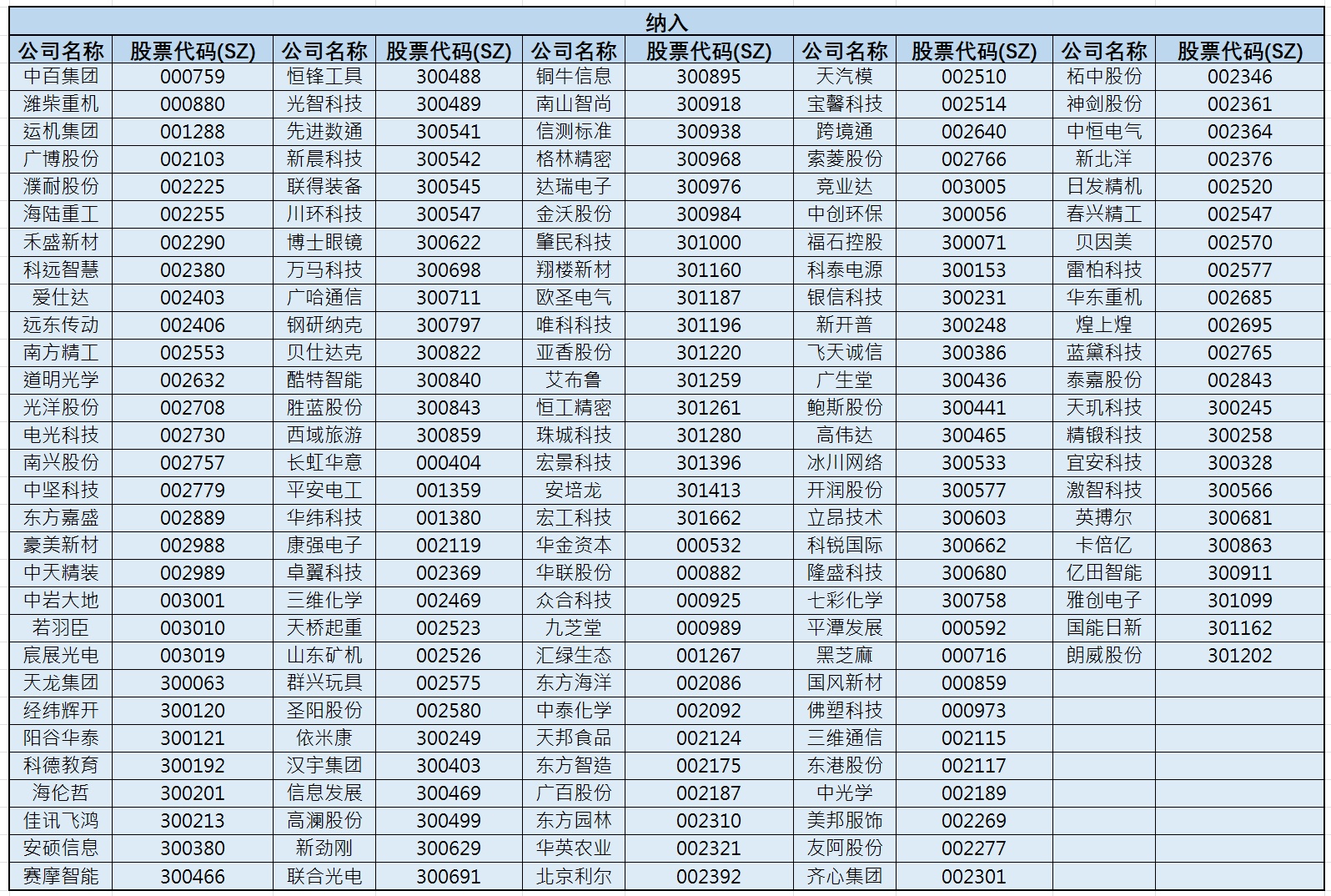
智通财经APP获悉,6月13日,港交所公告显示,沪深股通名单将进行调整,2025年6月23日起生效。其中,西宁特钢(600117.SH)、福日电子(600203.SH)等共97只股票获纳入沪股通名单,松炀资源(603863.SH)、金辰股份(603396.SH)遭移除。同时,中百集团(000759.SZ)、潍柴重机(000880.SZ)共142只个股获纳入深股通名单,东瑞股份(001201.SZ)、贝斯美(300796.SZ)、得润电子(002055.SZ)遭移除。
沪股通名单变动如下:


深股通变动名单如下:






